Neo atmasko dāsnās "Latvijas Autoceļu uzturētāju" algas, saucot tās par "desertu autobraucējiem"

© 4ATA

Šodien interneta vidē atklātībai parādījušās uzņēmuma "Latvijas Autoceļu uzturētājs" algas, kuras "nopludinājis" 4ATA kustības pārstāvis Neo. Šoreiz patiesi sašutis arī pats informācijas atmaskotājs.

"Redzot šos skaitļus un to dinamiku, pat man jāsaka - "bez komentāriem"," tā šīs algas komentē pats Neo.

Ieraugot tiešām dāsnās "Latvijas Autoceļu uzturētāju" algas, Neo uzdod retorisku jautājumu: Dombrovska kungam tiešām ir pieejams daudz plašāks datu apjoms. Bet kāpēc tas netiek izmantots reālai analīzei? Slinkums? Bailes? Nolaidība?

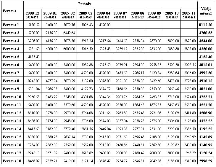
Kā liecina 4ATA publiskotie dati, pērn 365 VAS "Latvijas Autoceļu uzturētājs" darbinieku vidējie ienākumi pirms nodokļu nomaksas pārsnieguši 1000 latus. Dati publiskoti par laika posmu no 2008.gada decembra līdz 2009.gada novembrim.

Šajā laika posmā kopumā uzņēmumā nodarbināti 2068 darbinieki, no kuriem 365 darbiniekiem vidējie ienākumi pārsnieguši 1000 latus mēnesī, 53 darbiniekiem - 2000 latus, 17 darbiniekiem - 3000 latus. Savukārt sešu darbinieku vidējie ieņēmumi pārsnieguši 4000 latus mēnesī.

No 2008.gada decembra līdz 2009.gada novembrim darbinieku skaits uzņēmumā samazinājies par 18,2%, no 1945 līdz 1591, savukārt darbinieku vidējie ienākumi pagājušā gada laikā, no janvāra līdz novembrim, samazinājušies par 19,8%, no 686 latiem līdz 550 latiem.

2008.gada decembrī darbinieku vidējie ienākumi sasniedza 1665 latus, kā noprotams, uz dāsnu prēmiju rēķina. Šajā mēnesī vairākiem darbiniekiem ienākumi divas un pat trīs reizes pārsniedza ienākumus 2009.gada janvārī.

Jāatgādina, ka līdz šim 4ATA pārstāvis interneta vidē jau bija "nopludinājis" gan "Latvijas Bankas" darbinieku dāsno algu sarakstu, gan VID, "Latvenergo", FKTK un citu budžeta iestāžu algas.